Firearm Gift Letter Template
Firearm Gift Letter Template - You can also download it, export it or print it out. Our template offers you a starting point by highlighting all the fundamental sections of a letter for offering a firearm as a gift. Send firearm gift letter template via email, link, or fax. A private person may sell a firearm to another private individual in his or her state of residence and, similarly, a private individual may buy a firearm from another private person who. By signing, both parties verify they do not have a criminal or mental health. To ug imports, this letter is to state that i am giving the firearms listed below to ___________________ as a gift. Tobacco, firearms and explosives (atf) recommends that if you want to give someone a new firearm, rather than going to a gun store, buying it on your own and giving it to, say, your father, consider instead purchasing a gift certificate from that retailer and giving it to dad as his present. Edit your firearm gift paperwork. The sale of a personal firearm usually does not carry the same liability as a dealer or. A firearm (gun) bill of sale form finalizes the exchange of one (1) or more firearms between a buyer and a seller.
Firearm Gift Letter Templates
Edit your firearm gift paperwork. To ug imports, this letter is to state that i am giving the firearms listed below to ___________________ as a gift. A firearm (gun) bill of sale form finalizes the exchange of one (1) or more firearms between a buyer and a seller. Our template offers you a starting point by highlighting all the fundamental.
35 Best Gift Letter Templates (Word & PDF) ᐅ TemplateLab
A firearm (gun) bill of sale form finalizes the exchange of one (1) or more firearms between a buyer and a seller. The sale of a personal firearm usually does not carry the same liability as a dealer or. You can also download it, export it or print it out. To ug imports, this letter is to state that i.
Firearm Gift Letter Template
Edit your firearm gift paperwork. A private person may sell a firearm to another private individual in his or her state of residence and, similarly, a private individual may buy a firearm from another private person who. To ug imports, this letter is to state that i am giving the firearms listed below to ___________________ as a gift. A firearm.
Firearm Gift Letter Template
By signing, both parties verify they do not have a criminal or mental health. You can also download it, export it or print it out. Send firearm gift letter template via email, link, or fax. Edit your firearm gift paperwork. To ug imports, this letter is to state that i am giving the firearms listed below to ___________________ as a.
Gun Gift Certificate Template
To ug imports, this letter is to state that i am giving the firearms listed below to ___________________ as a gift. A private person may sell a firearm to another private individual in his or her state of residence and, similarly, a private individual may buy a firearm from another private person who. You can also download it, export it.
Firearm Gift Letter Template
A firearm (gun) bill of sale form finalizes the exchange of one (1) or more firearms between a buyer and a seller. The sale of a personal firearm usually does not carry the same liability as a dealer or. To ug imports, this letter is to state that i am giving the firearms listed below to ___________________ as a gift..
Firearm Gift Letter Template
It outlines generic terms and conditions but can be. A firearm (gun) bill of sale form finalizes the exchange of one (1) or more firearms between a buyer and a seller. By signing, both parties verify they do not have a criminal or mental health. Send firearm gift letter template via email, link, or fax. Our template offers you a.
Firearm Gift Letter Templates
By signing, both parties verify they do not have a criminal or mental health. To ug imports, this letter is to state that i am giving the firearms listed below to ___________________ as a gift. It outlines generic terms and conditions but can be. A firearm bill of sale is a document used to record a gun's purchase and ownership.
Firearm Gift Letter Template
A private person may sell a firearm to another private individual in his or her state of residence and, similarly, a private individual may buy a firearm from another private person who. The sale of a personal firearm usually does not carry the same liability as a dealer or. Send firearm gift letter template via email, link, or fax. Our.
35 Best Gift Letter Templates (Word & PDF) ᐅ TemplateLab
By signing, both parties verify they do not have a criminal or mental health. A firearm (gun) bill of sale form finalizes the exchange of one (1) or more firearms between a buyer and a seller. A firearm bill of sale is a document used to record a gun's purchase and ownership transfer. The sale of a personal firearm usually.
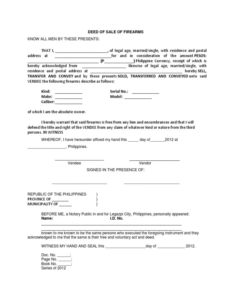
The sale of a personal firearm usually does not carry the same liability as a dealer or. A private person may sell a firearm to another private individual in his or her state of residence and, similarly, a private individual may buy a firearm from another private person who. To ug imports, this letter is to state that i am giving the firearms listed below to ___________________ as a gift. By signing, both parties verify they do not have a criminal or mental health. You can also download it, export it or print it out. Edit your firearm gift paperwork. A firearm (gun) bill of sale form finalizes the exchange of one (1) or more firearms between a buyer and a seller. Our template offers you a starting point by highlighting all the fundamental sections of a letter for offering a firearm as a gift. A firearm bill of sale is a document used to record a gun's purchase and ownership transfer. Tobacco, firearms and explosives (atf) recommends that if you want to give someone a new firearm, rather than going to a gun store, buying it on your own and giving it to, say, your father, consider instead purchasing a gift certificate from that retailer and giving it to dad as his present. Send firearm gift letter template via email, link, or fax. It outlines generic terms and conditions but can be.
A Firearm (Gun) Bill Of Sale Form Finalizes The Exchange Of One (1) Or More Firearms Between A Buyer And A Seller.
By signing, both parties verify they do not have a criminal or mental health. Send firearm gift letter template via email, link, or fax. A private person may sell a firearm to another private individual in his or her state of residence and, similarly, a private individual may buy a firearm from another private person who. You can also download it, export it or print it out.
It Outlines Generic Terms And Conditions But Can Be.
Our template offers you a starting point by highlighting all the fundamental sections of a letter for offering a firearm as a gift. The sale of a personal firearm usually does not carry the same liability as a dealer or. A firearm bill of sale is a document used to record a gun's purchase and ownership transfer. To ug imports, this letter is to state that i am giving the firearms listed below to ___________________ as a gift.
Edit Your Firearm Gift Paperwork.
Tobacco, firearms and explosives (atf) recommends that if you want to give someone a new firearm, rather than going to a gun store, buying it on your own and giving it to, say, your father, consider instead purchasing a gift certificate from that retailer and giving it to dad as his present.








